近日,北京大学付恩刚教授课题组通过理论研究首次揭示了近期热门的疑似室温超导体LK-99的电子结构、声子振动模式和100 K-450 K温区下的电导率。从第一性原理出发,通过铜掺杂铅磷灰石晶体结构的电声性质模拟,团队成功解释了LK-99在实验室难以合成的根本原因,并预测了LK-99中一维通道氧原子在沿z轴通道中的动力学不稳定性。电导率计算结果则证实了LK-99的半金属性质,并给出了其室温超导性不成立的有力证据。相关研究论文发表于Journal of Materials Science and Technology 2024年第173期。
超导体是一种在某个临界温度下表现出零电阻的材料,具有三个基本特性:超导性,完全抗磁性(迈斯纳效应)和磁通量子化特性。具有高临界温度的超导材料有可能彻底改变包括材料,电子通信和电力能源在内的诸多领域。特别是,高温超导体对于可控核聚变的发展至关重要,因为磁约束聚变堆芯中的超高温等离子体必须受到大磁场的束缚,而这个磁场通常只能由超导材料提供。然而,目前的超导材料必须在极低的温度下工作,这意味着大量额外的能量会被用于冷却超导材料,从而严重降低核聚变堆的产能效率。由此来看,高温甚至室温超导体的发展将大大提高核聚变反应堆的效率,甚至可能彻底解决全球、全人类的能源问题。
自1911年超导体诞生以来,世界各地的科学家一直在为实现高温超导而不懈努力,但大多数超导体只能在极低的温度(低于77 K)下工作。只有1986年以来发现的少部分特殊的超导体可以处于77 K以上,它们主要包括铜酸盐超导体、铁基超导体、有机超导体和氢化物超导体等。2023年,韩国S. Lee等人发表的arXiv预印本声称在Cu掺杂铅磷灰石(LK-99)中发现了临界温度高达423 K的超高温超导,化学式为Pb10-xCux(PO4)6O(0.9<x<1.1),并提供了详细的样品制备方法。然而,这种样品的超导性尚未得到验证,并且样品尺寸也过小。第一性原理计算通常用于新型超导体的预测,半个月以来,世界上的许多工作已经展开了LK-99的电子结构,但其电导率和声子色散特性尚未得到阐明。
付恩刚教授课题组采用第一性原理方法计算并分析了Pb10(PO4)6O和Pb9Cu(PO4)6O化合物的电子结构、声子色散性质和电导率。相关研究进展以“First-principles calculation on the electronic structures, phonon dynamics, and electrical conductivities of Pb10(PO4)6O and Pb9Cu(PO4)6O compounds”发表于期刊Journal of Materials Science and Technology(影响因子:10.9)。
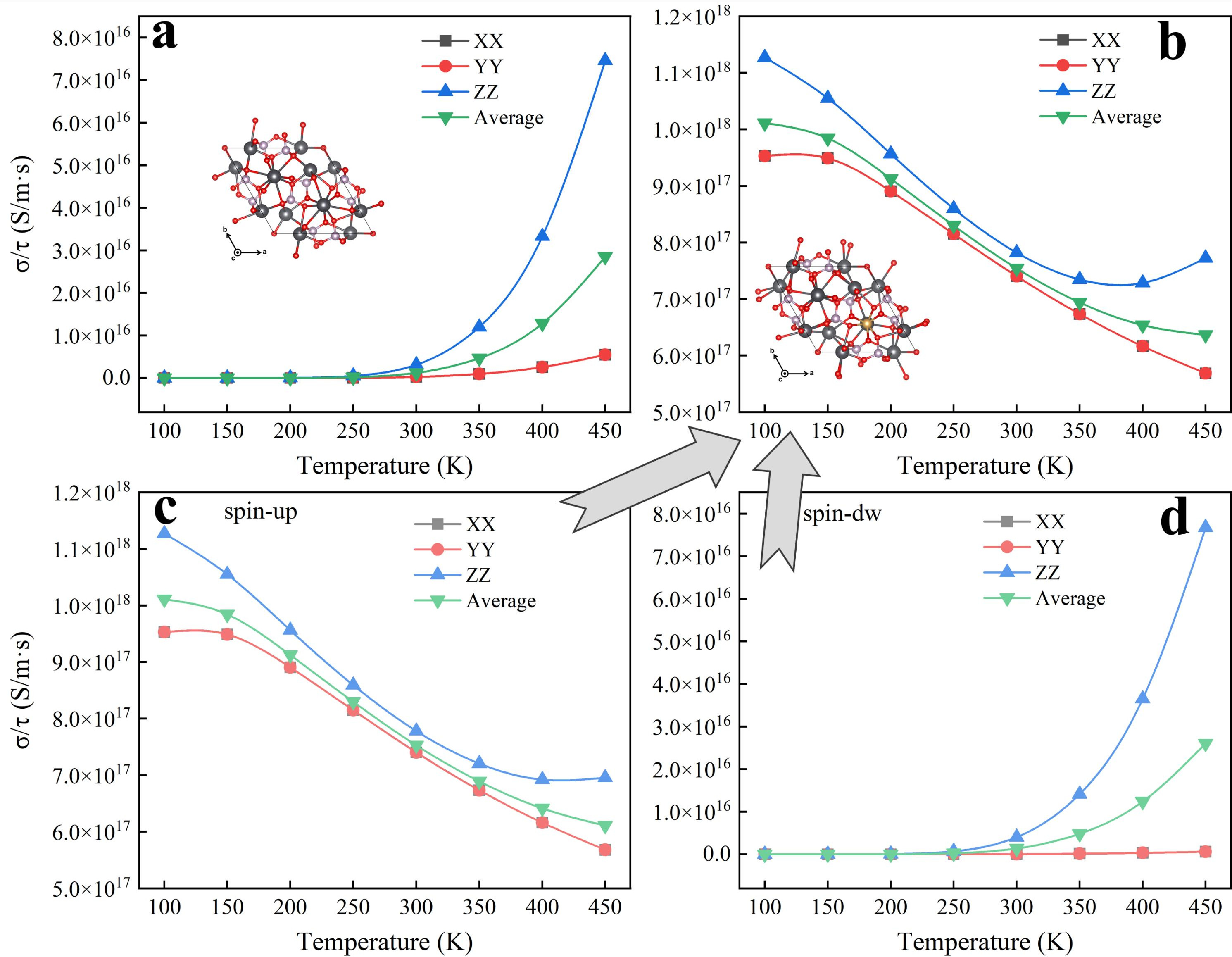
研究团队计算结果表明,Pb10(PO4)6O化合物为绝缘体,而Pb9Cu(PO4)6O化合物具有半金属性质。它们都具有费米能级附近的平带。遗憾的是,Pb9Cu(PO4)6O化合物电导率随温度的变化曲线并不能支持它的室温超导性质。此外,两种化合物的声子色散谱表明它们都是动力学不稳定的结构。研究团队认为,Pb9Cu(PO4)6O化合物可能具有新颖的磁性,但制备大尺寸的样品进行实验研究仍然是一个难题。
本工作第一作者为北京大学物理学院博士生郝立宇,通讯作者为北京大学物理学院付恩刚教授。本工作得到了国家自然科学基金,北京市自然科学基金,北京大学核技术应用实验室和北京大学超算中心的大力支持,由北京大学独立完成。

图1. (a) Pb10(PO4)6O化合物的结构构型;(b) Pb10(PO4)6O化合物的电荷密度分布;(c) Pb10(PO4)6O化合物的能带结构和DOS谱。

图2. (a) Pb9Cu(PO4)6O化合物的结构构型;(b) Pb9Cu(PO4)6O化合物的电荷密度分布;(c) Pb9Cu(PO4)6O化合物的能带结构和DOS谱。

图3. (a) Pb10(PO4)6O化合物广义电导率随温度变化的曲线;(b) Pb9Cu(PO4)6O化合物广义电导率随温度变化的曲线; (c) Pb9Cu(PO4)6O化合物自旋向上电子的广义电导率曲线;(d) Pb9Cu(PO4)6O化合物自旋向下电子的广义电导率曲线。
原文链接:L. Y. Hao, E. G. Fu*, Journal of Materials Science & Technology, 173, (2024) 218.
https://doi.org/10.1016/j.jmst.2023.08.010